This website requires JavaScript.
Explore
Help
Register
Sign in
furst
/
DWS-interactions
Watch
1
Star
0
Fork
You've already forked DWS-interactions
0
Code
Issues
Pull requests
Projects
Releases
Packages
Wiki
Activity
Actions
9d40950da3
DWS-interactions
/
Examples
/
Results
/
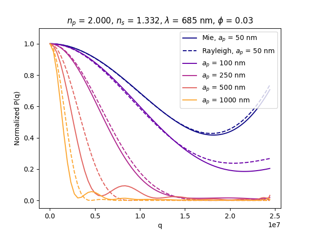
P(q) vs a_p.png
nsbalbi
374fc24f04
Initial Commit
2021-08-15 17:48:56 -04:00
74 KiB
640x480px
Raw
History